Skip to main content

gledos Lia green 的微型博客

游戏文化浓度也许很高的微型博客,还有审查观察和浅显的科普杂谈。曾经每日 7:30 准时更新。明明很向往自由,却有着严格约束,和奇怪规则的频道。

由 gledos Lia green 创作的内容,如果没有另外声明,均为 CC-BY 4.0 许可协议。

Lia 无法保证内容正确,但会一直尝试追逐正确。

如要评论,需先加入 @gledos_science_rebirth 群组,直接在评论里点击加入,是看不到验证码的。

管理员: @gledos_green
  1. 什么是人类

    新华字典将「人」释义为:「能制造工具改造自然并使用语言的高等动物」。不过现在看来非常不严谨,因为能做到这些的动物很多:

    + 制造工具:黑猩猩能使用木棍钓白蚁,而且木棍经过了简单的加工,刻意去除细枝和叶子
    + 改造自然:翻土的蚯蚓,建造水坝的河狸。
    + 使用语言:各种动物的求偶仪式就是最简单的语言,群居动物往往有警告鸣叫,同样也是语言。草原土拨鼠甚至能使用复杂的叫声来区分不同的捕食者。

    也许人外制造工具简单、改造自然较弱以及语言能力不足,但寻找到类似能力的人外应该不是什么难事,比如河狸基本符合上面的内容,能够制造水坝改造自然,也有一定程度的沟通能力。但是这下分不清人类与河狸了,不过还有其他的研究来认识什么是人类,那就是「合作」。

    罗伯特·阿克塞尔罗德在研究了各种博弈后,整理了 合作的进化,这个研究后来被做成了游戏《信任的进化》(信任的衍化)。

    而人类就是地球上合作程度最高的动物。如果破坏合作,可能会被限制自由甚至是处刑。而帮助他人会获得各种荣耀。信誉同样很重要,缺乏信誉会处处受到排斥,因为信誉低等同于合作关系不牢固。

    附言:曾经《现代汉语词典》把人定义为「能制造工具并使用工具进行劳动的高等动物」,没有提到语言,这说明定义已经修订过了。但这种修订显然没有触及本质。

    附言 2:自我意识曾经是一种定义人类的方法,不过在进行 镜子测试 后,人们发现许多人外都有自我意识,也就不怎么被主流科学研究提及了。

    附言 3:「人外」指人类以外(的动物)。

    附言 4:能发展更高科技,往往也就意味着合作程度更深,也就意味着更「文明」。为了确保合作的深入,就需要法制健全,惩罚破坏合作的个体,奖励合作的个体。

    附言 5:人类具有超过 邓巴数,创造更大的团体的能力。(老高与小茉的节目介绍过,不过视频内容已转为会员节目《【這個影片真的被封鎖了,重傳僅限會員】看來說到這都是不可以的》。之前的标题叫做《这个话题最多只能讲这么多,再多就要被下架了》。)

    #暴论 #杂谈 | 主要参考了苏房斋的视频《两万字爆肝干货:黑暗森林法则为什么是错的?
  2. 密室逃脱

    密室逃脱」是一种实景游戏,通常特指在一段时间中通过考验,离开房间的付费游戏。

    也许可以说「密室逃脱」是指商业模式,因为「密室逃脱」比起之前的实景游戏,比如鬼屋、5 Wits 等主题冒险乐园的成本更低。所以运营商不少,截至 2019年11月,全球大约有超过 5 万个「密室逃脱」运营商。

    「密室逃脱」其实非常年轻,因为它起源自各种点击解密类的游戏。尤其是 Flash 游戏时代,日本出现了大量「脱出游戏」,最知名的可能是 2004 年发布的《深红色房间》(CRIMSON ROOM),它的镜头艺术影响了之后的许多作品,它的热度也让更多的游戏开发者来制作脱出游戏。

    2007 年,加藤隆生 在日本举办了首届现代意义的「密室逃脱」,这创造了一种新的娱乐方式与商业模式。

    所以「密室逃脱」从诞生,还不到 20 年。但「密室逃脱」不是凭空诞生的,而是「脱出游戏」的现实化版本。「脱出游戏」的起源又是《神秘岛》(Myst),再往前能追溯到纯文字的 互动小说

    从邮购的磁碟游戏,接着是赚取广告费的 Flash 游戏,现在是全球市场规模超过百亿的「密室逃脱」。而这些都离不开开放的市场,如果「密室逃脱」也要卡版号,多半也要完。

    #历史 #杂谈
  3. 接力

    调查报告学者仇凤仙的声音传播过数次,虽然有许多阻力,但不断有人接力:

    2023年6月,仇凤仙的专著《第一代农民工可持续生计研究》出版上市, 但在 2023年8月~11月,专著似乎从淘宝下架了,直到 12 月才有读者在淘宝购买到。

    2023年7月4日,仇凤仙在「一席」的演讲《民工暮年》上传到各大平台。但很快微信公众号、哔哩哔哩上的版本就被删除了,只有官网和 YouTube 上能看。(观众上传的补档视频没有明显审查,说明审查力度可能偏弱)

    2023年7月5日,正面连接(媒体品牌)发布了文章《如此打工30年》,讲述了农民工的相关境遇。其中主要引用的是仇凤仙编写的《第一代农民工可持续生计研究》。

    文章发出后,很快就被微信删除,理由是:「由用户投诉并经平台审核,涉及到公开地图使用不规范」。然而真正的理由没有这么简单,因为网友转发的文章(可能没有图片),也遭到了删除,所以「地图使用不规范」只是一个借口。

    2024年1月8日,网易新闻哔哩哔哩帐号发布了视频《合肥农民工生存实录:凌晨4点开始等活,有人380元医保没钱交》,视频封面与开头显示了「如此打工30年」,可能才是真正的标题,而这与之前正面连接的文章呼应。

    2024年1月9日,网易新闻帐号以及视频都被审查。

    2024年1月10日,第一财经发布了文章《凌晨路边等活的农民工》, 这被视为跟随网易的农民工相关报道。不过很快《凌晨路边等活的农民工》也被删除了,微信公众号显示的情况是:「该内容已被发布者删除」。

    从出书到演讲,接着被正面连接引用。一段时间后,网易使用了相同的标题,讲述了相同的农民工议题。即使讨论很快就被封锁,但这场接力游戏还在继续下去。

    ggame | #杂谈 #时间线
  4. Game Boy Pocket、Light 的故事

    任天堂在《精灵宝可梦红/绿》发售前,Game Boy 的游戏发布数量 已经逐年降低。如果没有意外发生,那么 GB 的生命周期也快到头了。但是宝可梦吸引了许多玩家购买 GB,虽然没有确切每年销量数据,但 GB 之后数年游戏发售数量有明显提升,所以宝可梦确实帮助 GB 续命了很长时间。

    期间横井军平正好在开发新机型 Game Boy Pocket,这是能装进口袋里的 GB。而在开发时,为了轻量还打算移除游戏连接电缆,好在游戏开发者强烈反对,保留了游戏连接电缆,让 GBP 乘上了宝可梦的热度。如果没有游戏连接电缆,那么就不能交换宝可梦或者对战了,GBP 的销量绝对会受挫。(GBP 的 Pocket 命名与宝可梦无关,只是巧合

    GBP 发售不到两年,GB 家族的下一代改进型号,Game Boy Light 就推出了。但这是非常尴尬的时间点,因为半年后就发售有彩色显示的 Game Boy Color。GBL 仅有自带背光这一个优点,商业上不管怎么看,都没必要推出。

    但在开发者看来,之前一直在研究 GBL 的背光、电池与成本,这些工作直到 1998 年才完成。如果不能发售,那么多年的努力不就白费了?所以仅在日本发布了 GBL,尽量不增加库存等负担。结果也证明了 GBL 销量不佳,但 GBL 也因此成为了收藏品。(指二手市场价格很高)

    1989-04-21 Game Boy 发售
    1996-02-27《精灵宝可梦红/绿》发售
    1996-07-21 Game Boy Pocket 发售
    1998-04-14 Game Boy Light 发售
    1998-10-21 Game Boy Color 发售

    #游戏 #历史
  5. 隐形战斗机与信号

    隐形战斗机的原理是降低 雷达散射截面(RCS)这个指标数据,RCS 主要受体积、材料(涂层)、形状影响。

    小型战斗机的 RCS 是 2~3 m²,而隐形战斗机的 RCS 基本都小于 0.1 m²,能够比鸟类的 RCS 还要低,所以雷达难以识别。

    但这不是终点,因为电脑硬件不断升级,即使今天无法从雷达数据中找到隐形战机,有了足够的隐形战机 RCS 数据,也许能抓住隐形战斗机 RCS 的特征,从而使隐形失效。

    事实上这种较量已经开始了,比如洛克希德·马丁公司将 F-22 猛禽战斗机的详细 RCS 数据设为了机密,所以 F-22 在非盟友雷达附近活动时,需要安装 龙勃透镜,让 RCS 变成普通飞机的水平,掩盖隐形时的 RCS 特征。(训练期间,也能安装龙勃透镜)

    附言:龙勃透镜也能将诱饵弹伪装成飞机,比如 ADM-160 MALD 能伪装成各种战机,目的是压制敌方防空,类似于 DDoS 攻击吧。

    #原理 | 资料来源
  6. 不是股东的股东

    游戏界的「精神股东」可能源自论坛,一些关注游戏游戏销量、财报和公司动态的玩家,可能就被其他人称为「精神股东」。因为没有购买任天堂的股票,却像持有股票的股东一样在意游戏公司的,有关商业的大小事。

    某种程度上说,购买了商品,确实没必要在意厂商的大小事。但如果商品是服务,那么情况就有些特殊了。

    比如手机的系统的支持时间通常越长越好,就算这款手机不再更新系统,也还能依靠向前兼容功能继续使用多年。但是如果在过去选择了 Windows Phone,那么会遇到第三方软件稀少的情况,因为 WP 占有率太低了。

    所以购买了服务的玩家,与厂商是命运共同体。也包括还在观望的玩家,比如那些发现 3DS 初期定价太高的玩家,他们就免于购买昂贵「大使机」。

    大多数玩家对游戏机最在意的事情,可能是游戏数量和类型丰富度吧,比如:

    + N64 前三个月只有三款游戏,整个生命周期只有 388 款游戏。
    + PSV 初期游戏质量不够,前期的《刺客信条》《极品飞车》和《使命召唤》大作质量还是不够,将 PSV 宣判了死刑,之后基本没有通常意义的大作出现了。虽然整个生命周期的游戏不少,但范围太窄。(二次元游戏非常多)
    + WiiU 失败的原因比较多,考虑到大多数游戏都移植到了后续的 Switch,可能是上述机器中最失败的吧。

    这么一看,玩游戏确实很像购买股票,因为这是一种长期投资。平台、游戏的商业成绩好,才能持续运营或者有续作计划。玩家的选择决定了未来的收益。

    #游戏
  7. 看见紫外线

    白内障的病因之一是紫外线照射,因为人眼的晶状体能吸收许多紫外线(角膜与晶状体的吸收率为 99.34 %)。不过一部分人造晶状体,没有吸收紫外线的功能。

    Alek Komarnitsky 进行了白内障手术,更换了不吸收紫外线的人造晶状体。他发现手术后的视觉发生了有趣的变化,于是在博客上分享了测试紫外线视觉的一些方法:

    + 看到黑光灯亮度明显,如果带上防紫外线的透明眼镜,就看不到黑光灯了。
    + 使用棱镜制作彩虹,发现彩虹长度,比普通人看到的更长。
    + 有读者慷慨的为博主提供直接使用 单色仪 测试的机会,测试结果摘要:
    + 400 纳米,紫色与一些灰色。
    + 370 纳米,50 % 紫色与 50 % 灰色。
    + 340 纳米,非常极限,看不出颜色,与无光只有微小差异。

    对此,Alek K. 猜测自己的视锥细胞比起多数人更灵敏,然后碰巧做了白内障手术,换上了不过滤紫外线的人造晶状体,所以才看到了紫外线。

    附言 1:黑光灯 是发出紫外线的灯具,在使用鲁米诺反应寻找血迹时,往往就会使用黑光灯。这种灯在的峰值亮度小于 400 纳米,但宽度可能覆盖了部分可见光,所以普通人可能会看到较暗的深紫色。

    附言 2:常见的手机摄像头,收录的光线通常是 400~700 纳米,这个范围算是经典的可见光范围。也许需要创造「经典可见光」「广义可见光」之类的新词语,来精确描述「可见光」的范围。

    #杂谈
  8. 对可见光范围的一些思考

    现在打开维基,查看 可见光 条目时,会看到「界限没有明确定义」这样的内容(即使早期的 2004 年版本 也是如此)。这种说法对也不对。

    比如蔬菜、水果分类本来是比较明显的:蔬菜是叶与一部分茎,水果是果实。但在日常中比较模糊,二者的关税不同,结果明明是果实的西红柿,却在美国法律上被分类为蔬菜

    光线也有类似的情况,需要被定义范围。不然宣称防紫外线的防晒霜,可能只能防御 100~200 纳米的部分紫外线,对其他的紫外线无效,那么这对防晒的帮助不大。

    目前防晒霜常用标准有欧盟的 SPF,比如 SPF30 是指「可过滤约 97 % 的 UV-B」(UV-B 也许可以称作乙型紫外线),波长在 280~315 纳米。关于 UV-B 的定义文件,能找到 ISO 21348 标准

    具体来说,ISO 21348 将可见光定义为了 380~760 纳米,紫外线是 315~400 纳米,标准文件竟然直接表明紫外线可以被肉眼观测。

    根据一些 历史记录 来推测,这是历史遗留问题。早期科学家先将紫外线定义为了小于 400 纳米。因为「紫外线不可见」,于是可见光的范围大于 400 纳米,就成了一段时间里的「正确」知识。

    #杂谈 #暴论
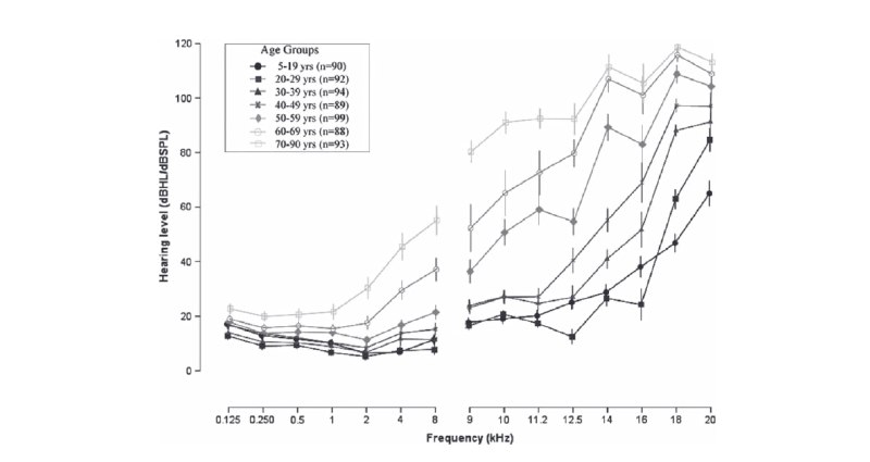
  9. 对听力范围的一些思考

    「20 Hz ~ 20000 Hz 频率声音,是人类的听力范围」,许多关于声学的资料都这么说。但是这句话还缺少范围,比如根据某项统计,推测 99.9 % 人类的听力范围是 20 Hz ~ 20000 Hz。

    范围之外频率的声音,往往被称作次声波和超声波。这与可见光之外的紫外线、红外线概念相似。但这条线究竟画在什么地方好?如果按照上面的 99.9 % 来画,是否可以说存在 0.1 % 的人能听到次声波、超声波?

    LISNR 是一家使用声波传输数据的公司,比如「声波支付」,优点是不需要请求敏感的权限,只要能能让手机发声,就能交易。LISNR 使用了 18-19.2 kHz 的声音(近超声,Near ultrasound),LISNR 对此给出的原因是极少数人类才能听到。那么究竟有多少人听得到这部分声音?

    (曾经支付宝也支持声波支付,不过 有用户会被噪音打扰,很难受)

    封面图是 一个研究关于人类超高频听力的研究。此研究统计了 645 个不同年龄段的健康人类,然后得到了这个图表。看起来还没有到达测试的极限。

    但大多相关研究,都将 20000 Hz 视为了某种理所当然的人类极限,不考虑究竟有多少人能听到超声波。只有很少有人研究高于 20 kHz 的声音,并且大多数「超声波听力」的研究者都是日本名字。

    「频率高于 20000 Hz 的声音是超声波,人类无法听到超声波。」这样广泛传播的「答案」,却成为了 思考的盲点,所以需要时刻审视身边的理所当然。

    #杂谈 #暴论
  10. 卡带侧面的凹槽

    如果观察 Micro SD 卡的侧面,就会发现明显的凹槽。这是读卡器为了锁住记忆卡,所特意设计的。

    封面视频是 SailCG 制作的动画演示,可以看到插入记忆卡有段落感,取出时还需要再推一下。这种机制似乎被称作「推推」机制(push-push)。

    也有不使用「推推」机制的读卡器,插入记忆卡没有段落感,拔的时候直接向外拉就好。

    除了 Micro SD,还有许多记忆卡的侧面也有凹槽,比如 DS、Switch 的卡带,这样的好处是不像之前 GB、N64 卡带一样,露在外面一截。

    不过现在适配记忆卡的设备越来越少,一些新玩家不了解插卡方法,结果硬拔 Switch 卡带……

    #原理
  11. 言论自由旗帜生成器

    言论自由之旗很有趣,任何不是太长的十六进制内容都能用来生成,这个概念有些类似于 让哈希易读 的 randomart 类软件。不过因为颜色少量变化不会被人察觉到,所以会遇到碰撞攻击,不能作为校验工具。

    gledos 基于言论自由旗帜的规则,使用 GPT 编写了言论自由旗帜生成器(网页工具),名为 hex2flag,演示效果就像封面视频一样。

    附言:正方形的 avatar 是头像,也许能作为社交媒体头像使用,比如用 PGP 或者其他内容来生成。

    在线使用 | 源码仓库 | #工具
  12. 言论自由之旗

    2007年,HD DVD 的加密密钥被公布到网络。有了这个密钥,就能绕过 DRM,直接复制 HD DVD 里的内容。HD DVD 的 DRM 是 AACS(包含迪士尼、英特尔、微软、索尼等大公司联盟开发的技术),所以这些大厂对此非常头疼,于是发布 DMCA 到各个平台,要求停止公开密钥。

    2007年5月1日,Digg 社交平台也因为 DMCA,开始针对密钥传播删贴、删号。不过可能是因为某些逆反心理,就像现在 变着花样直播《彩虹六号:围攻》一样,当时的人们不断使用创造性的方法来伪装密钥。

    其中就出现了使用十六进制数字的 RGB 制作的旗帜,将密钥 09F911029D74E35BD84156C5635688C0 改写为 #09F911 #029D74 #E35BD8 #4156C5 #635688 +C0,然后就组成了封面的 言论自由之旗

    PlayStation 3 的密钥 被公布时,也有人用了言论自由之旗的编码,制作了类似的旗帜。

    (不过旗帜经过 Telegram 的压缩,颜色可能不准确了……)

    #Wikipedia
  13. 成都生态公园现状

    2024年1月1日,gledos 来到成都天府蜀绣艺术馆附近的蜀绣公园扩建的部分(大概是)。这里曾经应该是天府绿道的生态公园一部分,不过因为「退绿还耕」等原因(绿化),这部分公园迟迟没有开放。反而将部分土地用来种植,距离公路太远的土地几乎就被荒废了……

    图片 1:Google 地球的蜀绣公园卫星图(30°46'11"N 103°59'51"E)。
    图片 2、3:蜀绣公园内,远处的建筑,就是卫星图顶部的大型建筑。
    图片 4、5、6:近距离观察这个大型建筑。
    图片 7:建筑物的一部分。
    图片 8:公园附近的绿道标识。

    (忘记拍摄农田了)