Skip to main content

gledos Lia green 的微型博客

游戏文化浓度也许很高的微型博客,还有审查观察和浅显的科普杂谈。曾经每日 7:30 准时更新。明明很向往自由,却有着严格约束,和奇怪规则的频道。

由 gledos Lia green 创作的内容,如果没有另外声明,均为 CC-BY 4.0 许可协议。

Lia 无法保证内容正确,但会一直尝试追逐正确。

如要评论,需先加入 @gledos_science_rebirth 群组,直接在评论里点击加入,是看不到验证码的。

管理员: @gledos_green
  1. 几乎不被使用的兆

    兆有多大?在古书的 中文大数系统 中有三种,分别是「下数」的 10⁶(百万),以及「中数」「上数」的 10¹⁶(亿亿)。兆在这里出现了两种不同的大小。

    然后清朝的《御製數理精蘊》,提出了新的大数系统「萬進」,将兆规定为了 10¹²(万亿)。这样兆就有了三种不同的大小。

    不过,还有一种大数系统被广泛使用,即 英文大数系统。比如国际单位制使用 M、G、T 作为单位词头,而他们被《中华人民共和国法定计量单位》定义为「兆」「吉」和「太」。

    结果就是某些原生或类原生的 Android 系统,在储存空间的显示中,显示了「吉字节」这种符合法定要求,但却不符合一般习惯的情况。

    兆被大规模使用的情况,主要是万进制难以涉及的千进制的领域,比如国际单位制。容量单位 MB 可能被简称为兆(全称为兆字节),圧力单位 MPa 被叫做兆帕,功率单位 MW 被叫做兆瓦,频率单位 MHz 被叫做兆赫(兆赫兹)。

    附言:台灣、香港、日本等地,普遍使用「萬進」规定的 10¹²(万亿),作为兆的大小。

    #历史 #原理
  2. 为什么支持陀螺仪操控的游戏更容易操作

    如果一架飞机向北行 1000 km ↑,西 1000 km ←,南 1000 km ↓,最后是东 1000 km →,那么还会回到原来的位置吗?(除非飞机最初在赤道以南 500 km 的位置)

    这个问题并不会在常见的 3D 游戏中出现,因为游戏横向移动鼠标,转动的是相同的角度。不过问题也存在,那么就是不同俯仰角下,鼠标相同的角度与距离是不同的,这应该也是高低差过于明显的地图不常见的原因,因为不同俯仰角的瞄准手感不同。

    而基于陀螺仪瞄准就不会有这种问题。因为鼠标、摇杆都是二维的输入设备,而陀螺仪是三维的,相当于转动摄像机位置,所以符合直觉。

    不过还是有许多游戏的体感,仅仅是映射成「鼠标」,还是存在不同俯仰角的瞄准手感不同的问题。而《斯普拉遁》似乎是使用了原始输入,所以手感比起其他的体感瞄准游戏更好。

    附言:判断体感是否是原始输入,可以尝试旋转角度很大的情况,然后回到手柄原始角度,如果游戏中的视角也回正了,那么应该算是原始输入。否则可能是将体感映射成鼠标。

    主要内容来自「王大可_ATC_H」的视频节目《喷射战士:任天堂对射击游戏的颠覆性诠释》。

    #游戏 #原理
  3. SNI 阻断测试

    2024年1月16日,最早在凌晨的时候,就有用户发现 GitHub 难以连接,主要是难以通过 SSH 连接。

    之前 GitHub 被干扰了多年,这次让人怀疑干扰被加强了。gledos 觉得可以测试一下 GitHub 的 SNI 阻断情况,不过找了一下,没有现成的简单易用的工具。

    于是让 GPT 写了一个工具,能够测试任意域名的 SNI 阻断状况。原理来自 OONI,本质上是「域前置」的反向应用。

    比如使用写着 https://google.com/ 的 SNI,来访问 Cloudflare。GFW 会使用深度包检测,检查 SNI 部分的内容,结果就会看到谷歌的 SNI,以为用户访问的是谷歌,然后发送 TCP Reset。

    下面是一些域名的测试结果(30 秒左右):

    + 百度:轻松通过测试,成功连接 30 次。
    + 谷歌:被 TCP Reset。
    + Steam 社区:被 TCP Reset。
    + Steam 商店:部分请求遭到了延迟,无法在一定时间内完成握手,这可能就是用户感到「网络劣化」的原因之一。成功连接 15 次。
    + GitHub:遭到延迟的概率比 Steam 商店高多了。成功连接只有 5 次。
    + GitHub Gist:被 TCP Reset。

    (以上测试不够严谨,也许需要其他地区的人来测试)

    工具是由 Python 编写的,没有使用第三方依赖,应该可以直接使用。代码被托管在了 GitHub Gist

    #工具 #原理
  4. 致富宣传

    人在经济不景气的时候,可能会听信各种致富的消息,可惜其中十有八九都不能致富。

    1990 年代的杂志上,可能有「人造鸡蛋」的广告。广告目的是向读者介绍一种致富手段。即人造鸡蛋的原料便宜,只要学会制作过程,就能致富。邮购后读者会收到一本小册子,里面写了一些不靠谱的「致富」手段,比如各种科技与狠活的食品。但制作出的效果多半太差,难以欺骗别人,所以这只是骗取邮购费的欺诈行为。

    人造鸡蛋欺诈行为,直到 2010 年还存在。骗术也升级了,人民网旗下的记者,亲眼看到高度仿真的鸡蛋。而且人造鸡蛋为了压低成本,使用了有害的廉价化工原料。

    CCTV-7 军事·农业频道(现 CCTV-17 农业农村频道),有一档《致富经》栏目,经常介绍各种致富方法。但几乎没有人能按照《致富经》里的剧情,成为农业企业家,大多都是亏本,无法复制《致富经》的成功

    如果不考虑剧本之类的欺诈情况,那么《致富经》仅仅是当时成功的农业企业家的传记,只能算是 1 % 人群的致富方式。但《致富经》可能巧妙添加了煽动性,让观众以为自己也能复制他人的成功路径。

    SARS-CoV-2 大流行之后,出现了 小吃摊一天销售额 9000 元左右,以及 废品回收月入过万 的新闻。这些当然太假了,于是最近出现了 送外卖 3 年赚 102 万,这个虽然是真实的,但普通人无法复制这种工作模式,应该也没有几个人看了新闻,就以为自己能月入 2 万以上,然后去送外卖。

    #杂谈 #SARS
  5. 死信

    在游戏《控制》中,玩家来到行政部帮助艾米丽·波普之后,得到了前往死信室(Dead Letters Archive)的目标。死信 是无法投递邮件、信件的意思,需要特别的机构处理死信。(后文不再区分信件、邮件)

    邮件的地址无法投递,同时退信地址缺失或其他无法退信的情况,这样的邮件就会被移交死信办公室,一种邮政设施。美国的死信办公室会打开邮件尝试寻找地址,这也是邮政工作人员允许违反 信件保密原则 的少数情况之一。

    如果无论如何也找不到发件人,那么只能拍卖有价值的物品,以及销毁书信了。1900 年左右,美国一年的死信高达 700 万份,支票和贵重物品总价值超过百万美元。

    不过现在地址填写越来越规范等原因,加拿大的死信办公室已经快消失了。对于全球的死信办公室来说也是如此。

    附言:中文新闻提到的死信,主要是指无法送达的信件,即使有退信地址也会被称作死信。尚不明确中国邮政是否有死信办公室之类的机构,处理没有退信地址的死信。

    #Wikipedia
  6. 为什么黑帮不能管理高科技?

    2022 年,Kamil Galeev 在 X(推特)分享了一篇长文,内容是 俄罗斯联邦对技术进口的依赖原因

    介绍俄罗斯无法 100 % 完全自主生产拖拉机后,话题转到了墨西哥黑帮「卡特尔」控制的牛油果(鳄梨),卡特尔虽然被认为是黑帮,但他们看起来像是军队。

    作者引入了经济、政治学家 Mancur Olson 的国家起源理论:驻匪理论。驻匪理论的大意是「流匪」的收益较低,风险较大。所以一部分强盗决定驻扎在特定领土,使用税收获取收益,也就成为了「驻匪」。

    「驻匪」为了可持续性竭泽而渔,不被轻易的取代,就需要增加合法性。比如出让自己的一些利益,换取领土上居民的支持,以及降低血腥暴力程度。随着时间演变,逐渐就形成了现代意义上的国家。

    但为什么黑帮往往只能控制植物、矿物、娱乐等非高科技?作者引入了 创造性破坏理论 来解释。

    商业世界没有限制新产业的发展,所以财富不太可能长期掌握在同一个人或团体手中。(比如鼎鼎大名的通讯厂商诺基亚,因为没能抓住智能手机系统的机遇,败给了苹果和谷歌为首的智能手机系统。)

    黑帮如果要发展复杂的行业,那么就不得不招募「技术官僚」「白手套」等专业人士,利益、权利也会被分走一部分。如果黑帮能够容忍这种情况,那么黑帮也会逐渐脱离黑帮的范畴。反之打压新产业,防止创造性破坏的情况发生(防止利益、权利外流),这就是俄罗斯联邦无法发展顶尖科技的原因。

    附言:驻匪理论(Stationary bandit theory)非常年轻,发布时间是 2000 年,并且这还是一个不完整的理论,还有许多课题待研究。并且 国家起源理论 还有许多,也许这些理论同时存在于现实。

    #杂谈 #暴论
  7. 其他艺术的融合协作

    融合协作不仅仅在音乐领域存在,其他艺术形式也存在融合协作。

    3D 视频领域的创作者 pwnisher(Clinton Jones),在 2020 年发起了 3D 挑战:PARALLEL DIMENSIONS(平行次元)。参赛者需要使用 pwnisher 提供的「主角蹒跚的向山进发」模板,创作自己的 3D 渲染视频。

    2022年4月4日,Nichijou Reanimated 项目的成果,完全重绘《日常》动画的第一集在 YouTube 发布。许多参与者绘制不同部分的画面,最终合并成了一集《日常》动画。

    绘画方面,《美少女战士》中的月野兔的绘画(sailormoonredraw)可能有些融合协作的味道。但是没有人将各种画作整合起来,制作成某种精选集。

    关于文字,比如书籍,似乎想不到融合协作的情况。一些电子产品厚厚的说明书,有几十种语言的那种,也许类似于融合协作……如果存在融合协作文字,其呈现效果,可能会不断变换文风。比如鲁迅的文风、电视购物风格、维基语言以及新闻联播的八股……

    🔗 封面图源码 | #杂谈 #艺术
  8. 融合协作曲

    之前介绍过 组曲SiIvaGunner 的混搭/融合音乐(如果是将音乐曲风换成东方风格,那么会被称作 东方再翻译),而二者也能结合,形成「融合协作(曲)」(Fusion Collabs)。

    通常组曲会将各种音乐统一为相似的曲风,而混搭音乐是将 A 音乐翻译成 B 曲风。那么将一首音乐,以多种不同的曲风呈现,就是「融合协作曲」了。

    + 『今宵は飄逸なエゴイストをいろんな東方っぽくしようとした』(试着把今宵是飘逸的自我主义者用各正作的风格东方化了):使用东方各作的风格,重新演绎《今宵是飘逸的自我主义者》。
    + Gusty Garden Galaxy Fusion (Super Mario Galaxy)(风之花园银河融合):主要使用任天堂的音乐风格重新演绎《超级马力欧银河》里的神曲《风之花园银河》。
    + I Love Beijing Tiananmen Fusion Collab(我爱北京天安门融合协作曲):将《香港 97》(放肆游戏)的主题曲《我爱北京天安门》使用 180 种风格重新演绎。(风格清单

    🔗 封面图源码 | #音乐 #组曲 #艺术
  9. 什么是人类

    新华字典将「人」释义为:「能制造工具改造自然并使用语言的高等动物」。不过现在看来非常不严谨,因为能做到这些的动物很多:

    + 制造工具:黑猩猩能使用木棍钓白蚁,而且木棍经过了简单的加工,刻意去除细枝和叶子
    + 改造自然:翻土的蚯蚓,建造水坝的河狸。
    + 使用语言:各种动物的求偶仪式就是最简单的语言,群居动物往往有警告鸣叫,同样也是语言。草原土拨鼠甚至能使用复杂的叫声来区分不同的捕食者。

    也许人外制造工具简单、改造自然较弱以及语言能力不足,但寻找到类似能力的人外应该不是什么难事,比如河狸基本符合上面的内容,能够制造水坝改造自然,也有一定程度的沟通能力。但是这下分不清人类与河狸了,不过还有其他的研究来认识什么是人类,那就是「合作」。

    罗伯特·阿克塞尔罗德在研究了各种博弈后,整理了 合作的进化,这个研究后来被做成了游戏《信任的进化》(信任的衍化)。

    而人类就是地球上合作程度最高的动物。如果破坏合作,可能会被限制自由甚至是处刑。而帮助他人会获得各种荣耀。信誉同样很重要,缺乏信誉会处处受到排斥,因为信誉低等同于合作关系不牢固。

    附言:曾经《现代汉语词典》把人定义为「能制造工具并使用工具进行劳动的高等动物」,没有提到语言,这说明定义已经修订过了。但这种修订显然没有触及本质。

    附言 2:自我意识曾经是一种定义人类的方法,不过在进行 镜子测试 后,人们发现许多人外都有自我意识,也就不怎么被主流科学研究提及了。

    附言 3:「人外」指人类以外(的动物)。

    附言 4:能发展更高科技,往往也就意味着合作程度更深,也就意味着更「文明」。为了确保合作的深入,就需要法制健全,惩罚破坏合作的个体,奖励合作的个体。

    附言 5:人类具有超过 邓巴数,创造更大的团体的能力。(老高与小茉的节目介绍过,不过视频内容已转为会员节目《【這個影片真的被封鎖了,重傳僅限會員】看來說到這都是不可以的》。之前的标题叫做《这个话题最多只能讲这么多,再多就要被下架了》。)

    #暴论 #杂谈 | 主要参考了苏房斋的视频《两万字爆肝干货:黑暗森林法则为什么是错的?
  10. 密室逃脱

    密室逃脱」是一种实景游戏,通常特指在一段时间中通过考验,离开房间的付费游戏。

    也许可以说「密室逃脱」是指商业模式,因为「密室逃脱」比起之前的实景游戏,比如鬼屋、5 Wits 等主题冒险乐园的成本更低。所以运营商不少,截至 2019年11月,全球大约有超过 5 万个「密室逃脱」运营商。

    「密室逃脱」其实非常年轻,因为它起源自各种点击解密类的游戏。尤其是 Flash 游戏时代,日本出现了大量「脱出游戏」,最知名的可能是 2004 年发布的《深红色房间》(CRIMSON ROOM),它的镜头艺术影响了之后的许多作品,它的热度也让更多的游戏开发者来制作脱出游戏。

    2007 年,加藤隆生 在日本举办了首届现代意义的「密室逃脱」,这创造了一种新的娱乐方式与商业模式。

    所以「密室逃脱」从诞生,还不到 20 年。但「密室逃脱」不是凭空诞生的,而是「脱出游戏」的现实化版本。「脱出游戏」的起源又是《神秘岛》(Myst),再往前能追溯到纯文字的 互动小说

    从邮购的磁碟游戏,接着是赚取广告费的 Flash 游戏,现在是全球市场规模超过百亿的「密室逃脱」。而这些都离不开开放的市场,如果「密室逃脱」也要卡版号,多半也要完。

    #历史 #杂谈
  11. 接力

    调查报告学者仇凤仙的声音传播过数次,虽然有许多阻力,但不断有人接力:

    2023年6月,仇凤仙的专著《第一代农民工可持续生计研究》出版上市, 但在 2023年8月~11月,专著似乎从淘宝下架了,直到 12 月才有读者在淘宝购买到。

    2023年7月4日,仇凤仙在「一席」的演讲《民工暮年》上传到各大平台。但很快微信公众号、哔哩哔哩上的版本就被删除了,只有官网和 YouTube 上能看。(观众上传的补档视频没有明显审查,说明审查力度可能偏弱)

    2023年7月5日,正面连接(媒体品牌)发布了文章《如此打工30年》,讲述了农民工的相关境遇。其中主要引用的是仇凤仙编写的《第一代农民工可持续生计研究》。

    文章发出后,很快就被微信删除,理由是:「由用户投诉并经平台审核,涉及到公开地图使用不规范」。然而真正的理由没有这么简单,因为网友转发的文章(可能没有图片),也遭到了删除,所以「地图使用不规范」只是一个借口。

    2024年1月8日,网易新闻哔哩哔哩帐号发布了视频《合肥农民工生存实录:凌晨4点开始等活,有人380元医保没钱交》,视频封面与开头显示了「如此打工30年」,可能才是真正的标题,而这与之前正面连接的文章呼应。

    2024年1月9日,网易新闻帐号以及视频都被审查。

    2024年1月10日,第一财经发布了文章《凌晨路边等活的农民工》, 这被视为跟随网易的农民工相关报道。不过很快《凌晨路边等活的农民工》也被删除了,微信公众号显示的情况是:「该内容已被发布者删除」。

    从出书到演讲,接着被正面连接引用。一段时间后,网易使用了相同的标题,讲述了相同的农民工议题。即使讨论很快就被封锁,但这场接力游戏还在继续下去。

    ggame | #杂谈 #时间线
  12. Game Boy Pocket、Light 的故事

    任天堂在《精灵宝可梦红/绿》发售前,Game Boy 的游戏发布数量 已经逐年降低。如果没有意外发生,那么 GB 的生命周期也快到头了。但是宝可梦吸引了许多玩家购买 GB,虽然没有确切每年销量数据,但 GB 之后数年游戏发售数量有明显提升,所以宝可梦确实帮助 GB 续命了很长时间。

    期间横井军平正好在开发新机型 Game Boy Pocket,这是能装进口袋里的 GB。而在开发时,为了轻量还打算移除游戏连接电缆,好在游戏开发者强烈反对,保留了游戏连接电缆,让 GBP 乘上了宝可梦的热度。如果没有游戏连接电缆,那么就不能交换宝可梦或者对战了,GBP 的销量绝对会受挫。(GBP 的 Pocket 命名与宝可梦无关,只是巧合

    GBP 发售不到两年,GB 家族的下一代改进型号,Game Boy Light 就推出了。但这是非常尴尬的时间点,因为半年后就发售有彩色显示的 Game Boy Color。GBL 仅有自带背光这一个优点,商业上不管怎么看,都没必要推出。

    但在开发者看来,之前一直在研究 GBL 的背光、电池与成本,这些工作直到 1998 年才完成。如果不能发售,那么多年的努力不就白费了?所以仅在日本发布了 GBL,尽量不增加库存等负担。结果也证明了 GBL 销量不佳,但 GBL 也因此成为了收藏品。(指二手市场价格很高)

    1989-04-21 Game Boy 发售
    1996-02-27《精灵宝可梦红/绿》发售
    1996-07-21 Game Boy Pocket 发售
    1998-04-14 Game Boy Light 发售
    1998-10-21 Game Boy Color 发售

    #游戏 #历史
  13. 隐形战斗机与信号

    隐形战斗机的原理是降低 雷达散射截面(RCS)这个指标数据,RCS 主要受体积、材料(涂层)、形状影响。

    小型战斗机的 RCS 是 2~3 m²,而隐形战斗机的 RCS 基本都小于 0.1 m²,能够比鸟类的 RCS 还要低,所以雷达难以识别。

    但这不是终点,因为电脑硬件不断升级,即使今天无法从雷达数据中找到隐形战机,有了足够的隐形战机 RCS 数据,也许能抓住隐形战斗机 RCS 的特征,从而使隐形失效。

    事实上这种较量已经开始了,比如洛克希德·马丁公司将 F-22 猛禽战斗机的详细 RCS 数据设为了机密,所以 F-22 在非盟友雷达附近活动时,需要安装 龙勃透镜,让 RCS 变成普通飞机的水平,掩盖隐形时的 RCS 特征。(训练期间,也能安装龙勃透镜)

    附言:龙勃透镜也能将诱饵弹伪装成飞机,比如 ADM-160 MALD 能伪装成各种战机,目的是压制敌方防空,类似于 DDoS 攻击吧。

    #原理 | 资料来源
  14. 不是股东的股东

    游戏界的「精神股东」可能源自论坛,一些关注游戏游戏销量、财报和公司动态的玩家,可能就被其他人称为「精神股东」。因为没有购买任天堂的股票,却像持有股票的股东一样在意游戏公司的,有关商业的大小事。

    某种程度上说,购买了商品,确实没必要在意厂商的大小事。但如果商品是服务,那么情况就有些特殊了。

    比如手机的系统的支持时间通常越长越好,就算这款手机不再更新系统,也还能依靠向前兼容功能继续使用多年。但是如果在过去选择了 Windows Phone,那么会遇到第三方软件稀少的情况,因为 WP 占有率太低了。

    所以购买了服务的玩家,与厂商是命运共同体。也包括还在观望的玩家,比如那些发现 3DS 初期定价太高的玩家,他们就免于购买昂贵「大使机」。

    大多数玩家对游戏机最在意的事情,可能是游戏数量和类型丰富度吧,比如:

    + N64 前三个月只有三款游戏,整个生命周期只有 388 款游戏。
    + PSV 初期游戏质量不够,前期的《刺客信条》《极品飞车》和《使命召唤》大作质量还是不够,将 PSV 宣判了死刑,之后基本没有通常意义的大作出现了。虽然整个生命周期的游戏不少,但范围太窄。(二次元游戏非常多)
    + WiiU 失败的原因比较多,考虑到大多数游戏都移植到了后续的 Switch,可能是上述机器中最失败的吧。

    这么一看,玩游戏确实很像购买股票,因为这是一种长期投资。平台、游戏的商业成绩好,才能持续运营或者有续作计划。玩家的选择决定了未来的收益。

    #游戏
  15. 看见紫外线

    白内障的病因之一是紫外线照射,因为人眼的晶状体能吸收许多紫外线(角膜与晶状体的吸收率为 99.34 %)。不过一部分人造晶状体,没有吸收紫外线的功能。

    Alek Komarnitsky 进行了白内障手术,更换了不吸收紫外线的人造晶状体。他发现手术后的视觉发生了有趣的变化,于是在博客上分享了测试紫外线视觉的一些方法:

    + 看到黑光灯亮度明显,如果带上防紫外线的透明眼镜,就看不到黑光灯了。
    + 使用棱镜制作彩虹,发现彩虹长度,比普通人看到的更长。
    + 有读者慷慨的为博主提供直接使用 单色仪 测试的机会,测试结果摘要:
    + 400 纳米,紫色与一些灰色。
    + 370 纳米,50 % 紫色与 50 % 灰色。
    + 340 纳米,非常极限,看不出颜色,与无光只有微小差异。

    对此,Alek K. 猜测自己的视锥细胞比起多数人更灵敏,然后碰巧做了白内障手术,换上了不过滤紫外线的人造晶状体,所以才看到了紫外线。

    附言 1:黑光灯 是发出紫外线的灯具,在使用鲁米诺反应寻找血迹时,往往就会使用黑光灯。这种灯在的峰值亮度小于 400 纳米,但宽度可能覆盖了部分可见光,所以普通人可能会看到较暗的深紫色。

    附言 2:常见的手机摄像头,收录的光线通常是 400~700 纳米,这个范围算是经典的可见光范围。也许需要创造「经典可见光」「广义可见光」之类的新词语,来精确描述「可见光」的范围。

    #杂谈
  16. 对可见光范围的一些思考

    现在打开维基,查看 可见光 条目时,会看到「界限没有明确定义」这样的内容(即使早期的 2004 年版本 也是如此)。这种说法对也不对。

    比如蔬菜、水果分类本来是比较明显的:蔬菜是叶与一部分茎,水果是果实。但在日常中比较模糊,二者的关税不同,结果明明是果实的西红柿,却在美国法律上被分类为蔬菜

    光线也有类似的情况,需要被定义范围。不然宣称防紫外线的防晒霜,可能只能防御 100~200 纳米的部分紫外线,对其他的紫外线无效,那么这对防晒的帮助不大。

    目前防晒霜常用标准有欧盟的 SPF,比如 SPF30 是指「可过滤约 97 % 的 UV-B」(UV-B 也许可以称作乙型紫外线),波长在 280~315 纳米。关于 UV-B 的定义文件,能找到 ISO 21348 标准

    具体来说,ISO 21348 将可见光定义为了 380~760 纳米,紫外线是 315~400 纳米,标准文件竟然直接表明紫外线可以被肉眼观测。

    根据一些 历史记录 来推测,这是历史遗留问题。早期科学家先将紫外线定义为了小于 400 纳米。因为「紫外线不可见」,于是可见光的范围大于 400 纳米,就成了一段时间里的「正确」知识。

    #杂谈 #暴论
  17. 对听力范围的一些思考

    「20 Hz ~ 20000 Hz 频率声音,是人类的听力范围」,许多关于声学的资料都这么说。但是这句话还缺少范围,比如根据某项统计,推测 99.9 % 人类的听力范围是 20 Hz ~ 20000 Hz。

    范围之外频率的声音,往往被称作次声波和超声波。这与可见光之外的紫外线、红外线概念相似。但这条线究竟画在什么地方好?如果按照上面的 99.9 % 来画,是否可以说存在 0.1 % 的人能听到次声波、超声波?

    LISNR 是一家使用声波传输数据的公司,比如「声波支付」,优点是不需要请求敏感的权限,只要能能让手机发声,就能交易。LISNR 使用了 18-19.2 kHz 的声音(近超声,Near ultrasound),LISNR 对此给出的原因是极少数人类才能听到。那么究竟有多少人听得到这部分声音?

    (曾经支付宝也支持声波支付,不过 有用户会被噪音打扰,很难受)

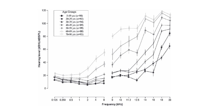
    封面图是 一个研究关于人类超高频听力的研究。此研究统计了 645 个不同年龄段的健康人类,然后得到了这个图表。看起来还没有到达测试的极限。

    但大多相关研究,都将 20000 Hz 视为了某种理所当然的人类极限,不考虑究竟有多少人能听到超声波。只有很少有人研究高于 20 kHz 的声音,并且大多数「超声波听力」的研究者都是日本名字。

    「频率高于 20000 Hz 的声音是超声波,人类无法听到超声波。」这样广泛传播的「答案」,却成为了 思考的盲点,所以需要时刻审视身边的理所当然。

    #杂谈 #暴论
  18. 卡带侧面的凹槽

    如果观察 Micro SD 卡的侧面,就会发现明显的凹槽。这是读卡器为了锁住记忆卡,所特意设计的。

    封面视频是 SailCG 制作的动画演示,可以看到插入记忆卡有段落感,取出时还需要再推一下。这种机制似乎被称作「推推」机制(push-push)。

    也有不使用「推推」机制的读卡器,插入记忆卡没有段落感,拔的时候直接向外拉就好。

    除了 Micro SD,还有许多记忆卡的侧面也有凹槽,比如 DS、Switch 的卡带,这样的好处是不像之前 GB、N64 卡带一样,露在外面一截。

    不过现在适配记忆卡的设备越来越少,一些新玩家不了解插卡方法,结果硬拔 Switch 卡带……

    #原理
  19. 言论自由旗帜生成器

    言论自由之旗很有趣,任何不是太长的十六进制内容都能用来生成,这个概念有些类似于 让哈希易读 的 randomart 类软件。不过因为颜色少量变化不会被人察觉到,所以会遇到碰撞攻击,不能作为校验工具。

    gledos 基于言论自由旗帜的规则,使用 GPT 编写了言论自由旗帜生成器(网页工具),名为 hex2flag,演示效果就像封面视频一样。

    附言:正方形的 avatar 是头像,也许能作为社交媒体头像使用,比如用 PGP 或者其他内容来生成。

    在线使用 | 源码仓库 | #工具